加速寿命试验是在物理与时间上,加速产品的劣化障因,给产品施加大于正常情况下的环境应力,以较短的时间进行试验,并推测产品在正常试验的状态下的寿命或失效率。
羿進電子风扇的高温寿命加速试验,其所考虑的环境应力为温度,将产品置于大于正常温度的试验环境下,研究产品失效时间的分布情况,推测产品产品在正常试验的状态下的寿命。
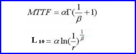
风扇的寿命一般用L10和MTTF来表征。
L10表示一批风扇从开始运转到10%失效所经历的时间。
MTTF(Mean time to fail)表示风扇从开始运转到失效所经历的平均时间。
不同厂家、不同客户可以按照自己的实际情况自定“失效判定标准”。
我司标准只要符合以下任一一种情况,则判定该风扇失效:
a.电流高于初始值15%
b.转速低于初始值85%
c.噪音高于初始值5dBA
其中:
r为可信度,在L10的计算公式中取值为:r=1-0.1=0.9
β为Weibull分布曲线的形状参数,我司取值β=1.1,预测的准确性与β取值密切相关。
由此公式可计算出:MTTF/L10=7.46(通常简易计算下MTTF≈7*L10)
t=1.036×MTTF×[(Br;c)÷n]0.91÷AF
↓
MTTF=t/{1.036×[(Br;c)÷n]0.91÷AF}
其中:
t:在试验应力条件下,测试样品需要测试的时间
MTTF:L10×7,L10为提供给客户的承认书标示的寿命值
(Br;c):泊松分布常数,取值为2.3025
n:试验样本数
AF:加速因子
由上述公式并结合正式的试验时间t,即可科学的计算风扇寿命。

测试步骤:
1.准备一定数量n的风扇样品,编号后进行初始电流、初始转速和初始噪音的测试。
2.将风扇并联后按照原理图所示接好各设备,调整好输出电压,调整好高温箱的温度。
3.通电后开始计时,观察风扇的总电流值,当风扇总电流值基本稳定后记下该值。
4.每隔500小时对全部风扇进行测试,具体包括:
(1)风扇噪音测试
(2)转速测试
(3)电流测试
5.试验中止:
a、10%样品失效
b、试验时间远大于寿命试验所需时间
6.寿命测试结束后,按照公式计算出风扇的寿命值(如MTTF和L10)。


